Schulische Ungleichheit in der Schweiz
G. Felouzis & S. Charmillot (2017). Schulische Ungleichheit in der Schweiz. Social Change in Switzerland, N° 8. doi:10.22019/SC-2017-00002
© the authors 2017. This work is licensed under a Creative Commons Attribution 4.0 International License (CC BY 4.0) 
Zusammenfassung
Dieser Artikel analysiert auf Basis der PISA-Daten die Entwicklung der schulischen Ungleichheit in der Schweiz zwischen 2003 und 2012. Wir zeigen zunächst, dass sich die kantonalen Bildungssysteme auf zwei Ebenen unterscheiden: einerseits in Bezug auf das durchschnittliche Kompetenzniveau der Schüler am Ende der obligatorischen Schulzeit (der sogenannten «Wirksamkeit») – und andrerseits in Bezug auf die je nach sozio-ökonomischer Lage ihrer Familie ungleichen Verteilung dieses erworbenen Schulwissens. Danach vergleichen wir zwei Formen, wie Schülerinnen und Schüler auf der Sekundarstufe I Leistungsklassen zugeteilt werden: einerseits solche, die gleichaltrige Schüler in mehreren, nach schulischem Niveau getrennten Schultypen unterrichten; andrerseits integrierte Systeme, die alle Leistungsniveaus in denselben Klassen einschulen. Dabei zeigt sich, dass getrennte Schulsysteme tendenziell Ungleichheiten im Erwerb von Kenntnissen zwischen den Schülern verstärken. Dies erklärt sich aus der Rolle der schulischen Segregation. Schultypen, die Schülerinnen und Schüler nach dem Niveau ihrer schulischen Leistungen in getrennten Schulen und Klassen unterrichten, separieren sie indirekt auch nach ihren sozialen Merkmalen. Das hat einen Einfluss darauf, welche Bildung Schülerinnen und Schüler aus unterschiedlichen sozialen Milieus angeboten wird.
Dieser Beitrag wurde im Rahmen des Forschungsprojekts « Comment organiser l’enseignement secondaire obligatoire ? Une étude des réformes scolaires et de leurs effets dans trois cantons romands » (100019_156702/1) des Schweizerischen Nationalfonds geschrieben.
Copyright
© the authors 2017. This work is licensed under a Creative Commons Attribution-NonCommercial-NoDerivs 3.0 Unported License (CC BY-NC-ND 3.0) 
Einleitung
In demokratischen Gesellschaften hat die Frage nach schulischen Ungleichheiten einen besonderen Stellenwert. Diese Gesellschaften legitimieren sich bekanntlich mit der Idee, dass die soziale Lage jedes Gesellschaftsmitglieds von seinen Kompetenzen, seinem Talent und seinen Verdiensten abhängig ist – und nicht etwa von seiner Geburt oder Herkunft. Diese Vorstellung nennt man gemeinhin Meritokratie oder Leistungsgesellschaft. Aus dieser Sicht kommt der Schule eine Schlüsselrolle zu, da sie die Aufgabe hat, die junge Generation auszubilden und die erworbenen Fähigkeiten über von ihr ausgestellte Diplome zu bescheinigen. Um ihren Auftrag voll ausführen zu können und faire Spielregeln zu garantieren, hat sie die Pflicht, allen dieselben Chancen zu geben: Erfolg soll dadurch in erster Linie vom Talent und der Anstrengung jedes Einzeln abhängen – und nicht von ererbten Faktoren wie den wirtschaftlichen Möglichkeiten oder dem Bildungsniveau der Herkunftsfamilie (Becker, 2013).
Eine konkrete Auswirkung der Beziehung von Individuen, Schule und Gesellschaft zeigt sich darin, dass heute der Bildungsabschluss in der Schweiz (Korber und Oesch, 2016; Falcon, 2016; Levy et al., 1997), aber auch in den meisten anderen entwickelten Ländern (OECD, 2016), ganz wesentlich über die soziale Lage und das Lohnniveau bestimmt. Die Frage, nach welchen Bedingungen Schulwissen und Diplome verteilt werden, ist deshalb hochrelevant: Räumt die Schule allen gleiche Chancen ein? Funktioniert sie gerecht? Ermöglicht sie es, mit der Geburt verbundene ungleiche Ausgangsbedingungen auszugleichen oder trägt sie umgekehrt dazu bei, diese zu verschärfen?
Die Sozialwissenschaften haben diese Fragen aufgegriffen, um die meritokratische Idealvorstellung einem Realitätstest zu unterziehen. Dies geschieht über eine Analyse der schulischen Ungleichheiten, wobei sie diese als Ungleichheiten zwischen Gruppen und nicht nur zwischen Individuen verstehen (Felouzis, 2014). Im Rahmen dieses Beitrags beschränken wir uns darauf, sozioökonomische Ungleichheiten zu behandeln. Dabei geht es darum, die Auswirkungen unterschiedlicher Schulsysteme auf diese Chancen zu vergleichen. Aus dieser Sicht ist die Schweiz ein besonders relevanter Fall, weil jeder Kanton sein eigenes Bildungssystem hat. Es ist somit möglich zu untersuchen, bis zu welchem Grad der Erwerb eines schulischen Titels von dieser kantonalen Dimension abhängt.
Wir bauen unsere Argumentation in drei Schritten auf. Wir beginnen damit, die Mittel zu definieren, die uns für eine Untersuchung der schulischen Ungleichheiten in der Schweiz zur Verfügung stehen. In einem zweiten Schritt verwenden wir Daten aus der zur Schweiz erhobenen «erweiterten Stichprobe» der PISA-Studie, um die Kantone auf zwei Ebenen zu vergleichen: dem durchschnittlichen schulischen Niveau, das ihre Schüler am Ende ihrer obligatorischen Schulzeit erreichen – und dem Ausmass der je nach der sozioökonomischen Lage der Herkunftsfamilie bestehenden Ungleichheiten im Bildungserwerb. Danach versuchen wir, das Ausmass der schulischen Ungleichheiten in den Kantonen aus den Merkmalen ihrer Bildungssysteme zu erklären. Abschliessend stellen wir einige allgemeinere Überlegungen zur Rolle der Bildungspolitik beim Entstehen schulischer Ungleichheiten an.
Wie untersucht/studiert/erforscht man schulische Ungleichheiten ?
Die Bildungssoziologie machte die Frage nach sozialen Ungleichheiten bereits früh zu einem ihrer zentralen Forschungsobjekte. Von den ersten Arbeiten von Coleman (1966) und Jencks (1979) in den USA, über diejenigen von Bourdieu und Passeron (1964, 1970) in Frankreich, bis zu den heutigen internationalen PISA-Untersuchungen (OECD, 2014), hat die Beschäftigung mit Ungleichheiten die Entwicklung der Theorien und Methoden dieser Disziplin geprägt. Im Lauf der Zeit wurde der «Werkzeugkasten» für die Analyse von Ungleichheiten umfangreicher: Heute gibt es verfeinerte statistische Methoden, viele umfassende Untersuchungen und den Forschern zugängliche Daten.
Für einen interkantonalen Vergleich der von Schülern im Unterricht erworbenen Kompetenzen ist die PISA-Studie (Programme for International Student Assessment) die zuverlässigste Quelle, weil sie internationalen Vergleichskriterien entspricht. Daneben gibt es mit der sogenanntem «erweiterte PISA-Stichprobe» eine schweizerische Ausgabe der Studie, welche es erlaubt, Vergleiche zwischen den Kantonen anzustellen (IRDP/SRED, 2014). Anzumerken ist noch ein Unterschied zwischen den beiden Studien: Im Rahmen von PISA Schweiz wurden Schüler im letzten Jahr ihrer obligatorischen Schulzeit befragt, bei der internationalen PISA-Studie war dagegen das Alter (15 Jahre) das Auswahlkriterium.
In den Analysen definieren wir die sozialen Gruppen auf der Basis des sozioökonomischen Status der Eltern. Wir verwenden dabei den «PISA-Index des wirtschaftlichen, sozialen und kulturellen Status», welcher auf drei unterschiedlichen Informationen zum familiären Umfeld beruht: dem höchsten Berufsstatus beider Elternteile, deren höchsten Bildungsabschluss und der Ausstattung des Haushalts mit materiellen, kulturellen und bildungsmässigen Gütern (z.B. der Anzahl im Haushalt vorhandenen Bücher).
Die schulische Vielfalt der Schweiz
In den internationalen PISA-Vergleichen gehört die Schweiz zu den gleichzeitig leistungsfähigen und eher sozial ausgleichenden Bildungssystemen (OECD, 2014). Allerdings weist die Schweiz in Schulfragen wie in vielen anderen Bereichen unterschiedliche Facetten auf. Da die Schulpolitik in kantonaler Kompetenz liegt, gibt es im Land 26 Bildungssysteme, von denen man an annehmen kann, dass sie unterschiedliche Auswirkungen auf den Bildungsweg und die erworbenen Fähigkeiten der Schüler haben. Daher untersuchen wir mithilfe der erweiterten Stichproben der PISA Schweiz von 2003 und 2012, wie in jedem Kanton Kompetenzen erworben und verteilt werden. Wir konzentrieren uns dabei auf die Mathematik als zentralen Bereich der beiden Umfragen.
Die Kompetenzen der Schüler können von einem Kanton zum anderen stark variieren. Die durchschnittliche Punktzahl in Mathematik erreicht 550 oder mehr Punkte in den Kantonen Schaffhausen[1] (558), St. Gallen (550) und im französischsprachigen Teil des Kantons Freiburg (550). Im französischsprachigen Teil des Kantons Bern (515), im Tessin (514), sowie in den Kantonen Neuenburg (508) und Genf (502) liegt er unter 520 Punkten.
Auch der Anteil der Schüler, deren Leistungen als sehr schwach oder sehr stark angesehen wird, variiert deutlich zwischen den Kantonen. So zählt man in den französischsprachigen Teilen der Kantone Freiburg und Wallis nur 5% der Schüler, welche die Stufe der Grundkompetenzen in Mathematik nicht erreichen, während es in Genf 16% und in Zürich 19% sind. Der Anteil von sehr leistungsstarken Schüler beträgt 32% in Kanton Schaffhausen und 28% im Kanton St. Gallen, liegt aber in den Kantonen Genf (10.6%), Neuenburg (12,1%), Tessin (12,9%) und im französischsprachigen Teil des Kantons Bern (14,3%) unter 15%.
Markante interkantonale Unterschiede zeigen sich auch bei den sozialen Ungleichheiten.[2] So erklärt im Kanton Zürich der sozioökonomische Status die Unterschiede in den mathematischen Leistungen am stärksten (19% – allerdings ist dieses Resultat mit Vorsicht zu interpretieren, da die Daten dafür aus der PISA-Umfrage von 2009 stammen). Danach folgen der Aargau und die Waadt, wo der Index des sozioökonomischen Status 14% der Punktzahlunterschiede zwischen den Schülern erklärt. Am anderen Ende der Skala scheinen die sozialen Ungleichheiten im Kanton Jura, im Tessin und im französischsprachigen Teil des Wallis weniger ausgeprägt zu sein. Dort erklärt der sozioökonomische Status jeweils nur ungefähr 5% der Unterschiede in der Punktzahl in Mathematik.
Lesehilfe: Im Kanton Aargau beträgt der Durchschnittswert 523 Punkte, im schweizerischen Durchschnitt 531. 14,2% der Schüler liegen im Kanton Aargau unter der Grundkompetenzstufe gegenüber 11,3% im schweizerischen Durchschnitt. Der Index zum sozioökonomischen Status erklärt 14% der Unterschiede der Punktzahl in der Mathematik im Kanton Aargau gegenüber 11% im schweizerischen Durchschnitt.
Grafik 1 vergleicht die unterschiedlichen Kantone bezüglich ihrer Wirksamkeit – hier gemessen mit der durchschnittlich von den Schülern erreichten Mathematikpunktzahl – und ihrer Chancengerechtigkeit – gemessen mit der Korrelation zwischen der sozioökonomischen Lage der Familie und der Punktzahl der Schüler.
Drei deutschsprachige Kantone und ein französischsprachiger Kanton fallen durch eine unterdurchschnittliche Wirksamkeit und Chancengleichheit auf. Dabei handelt es sich um die Kantone Aargau, Solothurn und Zürich einerseits und die Waadt andrerseits. Umgekehrt erscheint das Wallis als wirksamer und sozial ausgleichender als der Mittelwert. Die Kantone Freiburg (französischsprachiger Teil), Schaffhausen und St. Gallen unterscheiden sich von den anderen ebenfalls durch deutlich überdurchschnittliche Mathematikleistungen und durch ein durchschnittliches Ausmass sozialer Ungleichheit. Schliesslich sind die Kantone Jura und Tessin weniger wirksam als der Durchschnitt,[3] aber produzieren auch weniger soziale Ungleichheiten. Eine allgemeinere Lesart der Grafik 1 ermöglicht es, den Zusammenhang zwischen Wirksamkeit und sozialem Ausgleich zu betonen: Kein Kanton ist gleichzeitig wirksamer und sozial ungleicher als der Durchschnitt (Quadrant oben rechts). Dies zeigt, dass sich leistungsfähiges Lernen schlecht mit ungleichen Systemen verbinden lässt, die eine zu grosse Anzahl Schüler links liegen lassen.
Lesehilfe: Im Kanton Aargau liegt der Durchschnittswert der Mathematikleistungen (523) unter dem schweizerischen Durchschnitt (531): Die Stärke des Zusammenhangs zwischen dem Index der sozialen Lage und der Mathematikleistungen ist höher (14%) als im nationalen Durchschnitt (11%). Der Index zum sozioökonomischen Status erklärt 14% der Unterschiede der Punktzahl in der Mathematik gegenüber 11% im schweizerischen Durchschnitt. Aargauer Schulen sind daher weniger wirksam und sozial ungleicher als der Mittelwert.
Ungleichheiten, schulische Segregation und Merkmale der Bildungssysteme
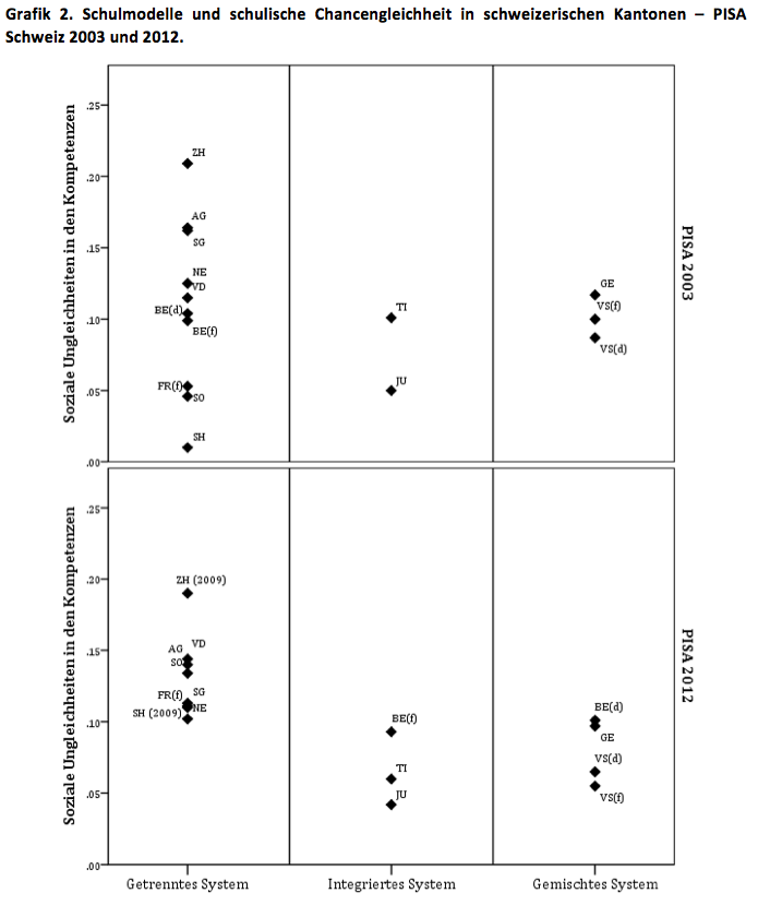
Diese deutlichen Unterschiede zwischen Kantonen werfen die Frage nach ihren Ursachen auf. Wie lassen sich derart grosse Abstände in den schulischen Ungleichheiten zwischen Zürich und der Waadt einerseits, dem Jura und Tessin andrerseits erklären? Wir untersuchen verschiedene Hypothesen, um dieser Frage auf den Grund zu gehen. Eine erste Hypothese beschäftigt sich mit der sozialen Zusammensetzung der Schülerschaft in jedem Kanton. Berücksichtigt werden dabei namentlich der Anteil von Schülern mit Migrationshintergrund sowie die durchschnittliche soziökonomische Lage der Schüler. Untersucht man diese beiden Dimensionen genauer, zeigt sich allerdings, dass diese zwei Indikatoren die in der Tabelle 1 und der Grafik 1 präsentierten Ungleichheiten im Kompetenzerwerb nicht erklären können (Felouzis et al., 2011). Eine andere Hypothese bezieht sich auf die Organisation des kantonalen Schulwesens. Dafür unterscheiden wir die kantonalen Bildungsysteme in drei Modelle, je nachdem wie Schüler der Sekundarstufe I in unterschiedlichen Schultypen und -klassen zugeteilt werden:
-Getrenntes System: Hierbei handelt es sich um kantonale Bildungsysteme mit hierarchisierten Schultypen. Die Schüler werden gemäss ihrem Leistungsniveau drei unterschiedlichen Schultypen zugeteilt (z.B. Realschule, Sekundarschule, Gymnasium).
-Integriertes System: In diesen kantonalen Bildungssystemen werden Schüler mit unterschiedlichem schulischem Niveau in denselben Klassen unterrichtet. Allerdings gibt es in den Hauptfächern (Mathematik, Deutsch, Französisch oder Italienisch) Niveaugruppen.
-Gemischtes System: Dazu gehören kantonale Schulysteme, in denen man gleichzeitig getrennte und integrierte Modelle findet.[4]
In einem weiteren Schritt untersuchen wir, inwiefern die soziale Ungleichheit im Kompetenzerwerb von diesen unterschiedlichen Schulmodellen auf Sekundarstufe I abhängt. Die Graphik 2 zeigt dies auf der Basis der PISA Schweiz Studien von 2003 und 2012 [5].
Grafik 2 zeigt mehrere Ergebnisse und Entwicklungen. 2003 bestanden innerhalb der Gruppe der Kantone mit getrennten Schulmodellen sehr unterschiedliche Grade von sozialer Ungleichheit. Allerdings hatten die Kantone mit der stärksten Ungleichheit (Zürich, St. Gallen, Neuenburg) alle ein getrenntes Schulsystem. 2012 tritt dies noch stärker in Erscheinung: Die sozialen Ungleichheiten im Kompetenzerwerb haben sich in den Kantonen mit auf Sekundarstufe I getrennt organisiertem Unterricht weiter verstärkt. So erklärt der sozioökonomische Status im Kanton Zürich 19% der Leistungsunterschiede der Schüler, in der Waadt 14% und zwischen 10% und 13% in den übrigen Kantonen mit einem getrennten Schulsystem.
In den Kantonen mit integrierten oder «gemischten» Schulmodellen sind diese Ungleichheiten weit weniger ausgeprägt. Dort erklärt der sozioökonomische Status nie mehr als 10% der Varianz in der Punktzahl der Schüler. Bei den gemischten Systemen zeigen sich im Wallis (beide Sprachgebiete) weniger starke soziale Ungleichheiten als im Kanton Genf oder im französischsprachigen Teil des Kantons Bern. In diesem Zusammenhang ist der Hinweis interessant, dass im Wallis die Unterteilung erst spät erfolgt: Während der ersten beiden Jahren der Sekundarstufe I besteht ein integratives Schulsystem für alle Schüler. Erst im letzten Jahr der obligatorischen Schulzeit wechselt ein Teil der Schüler in einen auf den Gymnasialunterricht vorbereitenden Schultyp.
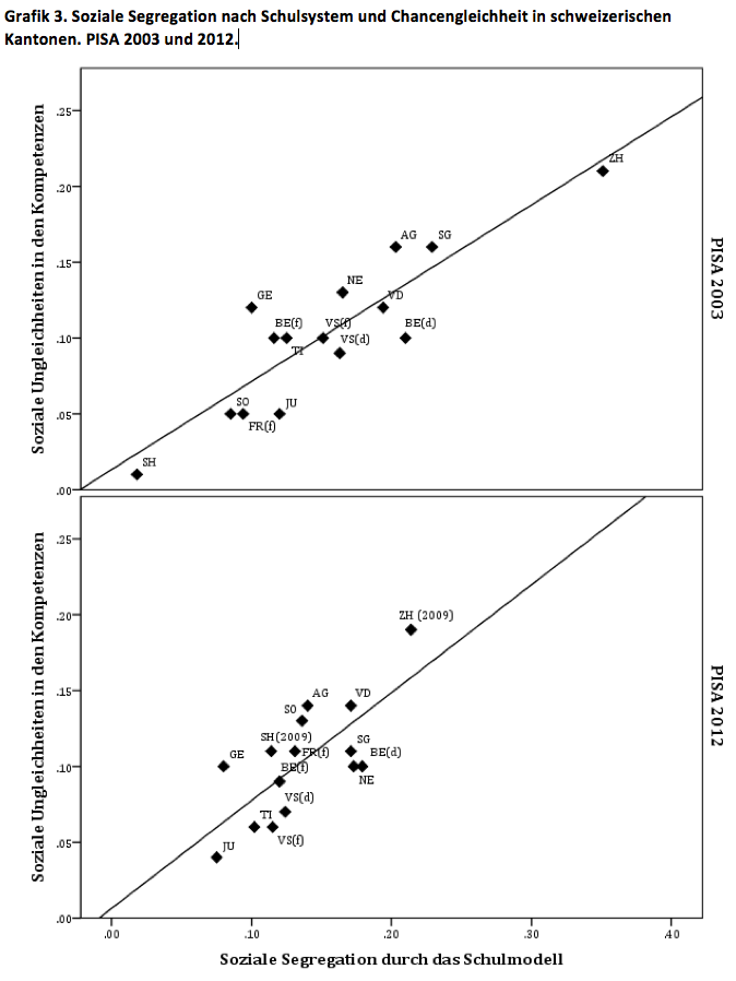
Alles weist somit darauf hin, dass die getrennten Schulsysteme dazu tendieren, die Ungleichheiten im Kompetenzerwerb zwischen Schülern am Ende der obligatorischen Schulzeit zu verstärken. Umgekehrt erzeugen die integrierten und gemischten Systeme weniger Lernungleichheiten. Es stellt sich somit die Frage, welche Mechanismen derartige Ungleichheiten im Kompetenzerwerb verursachen. Die internationale Forschungsliteratur betont, dass getrennte Schulsysteme ein wichtiger Faktor bei der Entstehung von Ungleichheiten zwischen Schülern und Schülergruppen sind (Gamoran et al., 1995; Buchmann et al., 2016). Systeme, die Schüler am Ende der Primarstufe aufgrund ihres schulischen Niveaus trennen, segregieren sie damit auch nach ihren sozialen und kulturellen Merkmalen und nach ihrem Migrationshintergrund. Deshalb unterscheidet sich die Schülern aus unterschiedlichen sozialen Milieus angebotene Bildung qualitativ und quantitativ umso mehr, je stärker der Unterricht getrennt ist. Wir prüfen diese Hypothese mit unseren Daten und untersuchen das Ausmass der sozialen Segregation in Abhängigkeit von den in einem Kanton jeweils präsenten Schulsystem. Die Graphik 3 zeigt die Korrelation zwischen dem Grad der sozialen Ungleichheit im Kompetenzerwerb und der mit den Schulmodellen verbunden sozialen Segregation für die Jahre 2003 und 2012[6].
Für 2003 und 2012 zeigt sich, dass eine grössere soziale Segregation in einem kantonalen Schulsystem auch mit einer ausgeprägteren sozialen Ungleichheit im Kompetenzerwerb einhergeht. Wenn wir die Kantone einzeln betrachten, werden die relevanten Entwicklungen deutlich. In den Kantonen Zürich, Aargau und St. Gallen vollzogen sich sehr ähnliche Entwicklungen: Zwischen den beiden Stichdaten nahmen dort sowohl die Segregation als auch die Lernungleichheiten ab. Obschon sich die Kantone Jura und Genf beim Grad der Segregation und der Ungleichheit stark unterscheiden, zeigt dort die Entwicklung in dieselbe Richtung. Eine Verringerung der sozialen Segregation zwischen den verschiedenen Niveaugruppen und Schultypen führt in der Tendenz dazu, dass sich auch die Ungleichheiten im Kompetenzerwerb verringern. Allerdings zeigen sich in einigen Kantonen auch Entwicklungen in eine andere Richtung. So hat sich in der Waadt die soziale Segregation zwar leicht verringert, die Lernungleichheiten haben jedoch trotzdem deutlich zugenommen. Schliesslich ist der Fall des französischsprachigen Teils des Kantons Freiburg interessant, da dort die soziale Segregation und die Ungleichheiten in den Schulkompetenzen zwischen 2003 und 2012 zugenommen haben.
Schlussfolgerungen
Ausgehend von den PISA-Erhebungen zur Schweiz haben wir untersucht, wie stark sich kantonalen Schulsysteme in Bezug auf soziale Ungleichheiten unterscheiden. Trotz ihrer Unvollständigkeit – sie deckt nicht alle 26 Kantone der Eidgenossenschaft ab – ist diese Umfrage die bisher einzige Untersuchung, die interkantonal vergleichbare Daten erhebt. Diese Daten ermöglichen es, die Entwicklungen in den schweizerischen Schulsystemen zu beschreiben und ihre Logik zu verstehen. Damit können jene Eigenschaften des Schulwesens identifiziert werden, welche die Lernungleichheiten zwischen Schülern aus unterschiedlichen sozialen Milieus beeinflussen. Dafür haben wir die von den Umfragen von 2003 und 2012 erfassten Kantone untereinander verglichen. Daraus ergibt sich, dass in Kantonen, welche sich für eine getrennte Organisation des Unterrichts auf Sekundarstuft I entscheiden, die in der Schule erworbenen Fähigkeiten am stärksten von der sozialen Herkunft der Schüler abhängen. Der Entscheid für eine durchlässigere Organisation – gemäss einem «integrierten» oder «gemischten» Modell – ermöglicht es umgekehrt besser, das Prinzip der Chancengerechtigkeit beim Kompetenzerwerb am Ende der obligatorischen Schulzeit zu verwirklichen. Heute entscheiden sich eine wachsende Anzahl Kantone für weniger segmentierte oder sogar gänzlich integrierte Schulsysteme. Die geschieht auch unter dem Druck der Bildungsnachfrage der Familien und den Erwartungen der schweizerischen Wirtschaft, deren Bedürfnis nach qualifizierten Arbeitskräften stark zunimmt (SECO, 2016).
[1] Da Schaffhausen und Zürich an der schweizerischen PISA Studie 2012 nicht teilnahmen, verwenden wir hier die Ergebnisse von 2009.
[2] Das Ausmass der sozialen Ungleichheit wird mit der Intensität der Korrelation zwischen dem Index zum sozioökonomischen Status und der Punktzahl in Mathematik gemessen. Wir haben dafür den Determinationskoeffizienten () berechnet. Dieser misst denjenigen Prozentsatz in der Varianz der Punktzahl in Mathematik, welcher auf den sozioökonomischen Status der Schüler zurückgeführt werden kann. Je mehr sich der Determinationskoeffizient einem Wert von 100% annähert, desto grösser sind die sozialen Ungleichheiten.
[3] Der Vergleich der Kantone nach ihrer Wirksamkeit wurde in Felouzis et al. (2011) weiter ausgeführt. Wir zeigen dort auf Grundlage der ergänzenden PISA-Studie zur Schweiz 2003, dass das Durchschnittsalter der befragten Schüler teilweise die Lernunterschiede zwischen den Kantonen erklärt. So lag das Durchschnittsalter der damals befragten Schüler in Genf, im Tessin und im Jura im Durchschnitt nahe bei 15 Jahren, in den Kantonen Zürich und Aargau dagegen näher bei 16 Jahren.
[4] In den vier Kantonen mit einem « gemischten » System werden mindestens ein Drittel aller Schüler in integrierten Modellen unterrichtet (BE(d)=47%, VS(d)=37%, VS(f)=71%, GE=37%). Andere Kantone (SO, SG, ZH, SH) kennen zwar auch zugleich getrennte und integrierte Modelle, hier wird aber nur eine Minderheit von Schülern in integrierten Schulen unterrichtet. (SO=3%, SG=2%, SH=7%, ZH=16%). Die Bildungssysteme dieser Kantone werden daher hier als getrennt betrachtet.
[5] 2012, wurde die Berechnung des Index des sozioökonomischen Status im Rahmen von PISA verbessert, um der veränderten sozioprofessionellen Realität Rechnung zu tragen. Es könnte sein, dass ein Teil der Veränderungen der Ungleichheiten zwischen 2003 und 2012 damit zusammenhängen. Deshalb beschränken wir uns hier auf jeweils einen interkantonalen Vergleich für entweder das Jahr 2003 oder das Jahr 2012.
[6] Es handelt sich hier um das Eta-Quadrat zwischen dem Schulmodell (Schultyp mit erhöhten, mittleren und elementaren Anforderungen. Niveaugruppe mit erhöhten, mittleren und elementaren Anforderungen in integrierten System) und dem Index des sozioökonomischen Status. Das Eta-Quadrat variiert zwischen 0 und 1. Je näher der Wert bei 1 liegt, je stärker ist die vom Schulmodell verursachte soziale Segregation.
Bibliographie
Becker, Rolf. 2013. Bildungsungleichheit und Gerechtigkeit in der Schweiz. Schweizerische Zeitschrift für Bildungswissenschaften 5(3):405-413.
Bourdieu, Pierre, Passeron, Jean-Claude. Die Erben. Studenten, Bildung und Kultur, Konstanz: UVK 2007.
Bourdieu, Pierre, Passeron, Jean-Claude. La reproduction. Eléments pour une théorie du système d’enseignement. Paris: Minuit 1970.[1]
Buchmann, Marlis, Irene Kriesi, Maarten Koomen, Christian Imdorf et Ariane Basler. 2016. “Differentiation in secondary education and inequality in educational opportunities: The case of Switzerland.” pp. 111-128 in Models of Secondary Education and Social Inequality: An International Comparison, edité par H.-P. Blossfeld, S. Buchholz, J. Skopek, et M. Triventi. Cheltenham: Edward Elgar Publishing.
Coleman, James S. 1966. Equality of educational opportunity. Washington, D.C.: United States Government printing office
Konsortium PISA.ch. 2014. «PISA 2012 Vertiefende Analysen», SBFI/EDK Neuchâtel
Falcon, Julie. 2016. «Soziale Mobilität in der Schweiz im 20. Jahrhundert: zwischen Demokratisierung der Bildung und Fortbestand der Klassenungleichheiten». Social Change in Switzerland.https://www.socialchangeswitzerland.ch/?p=829
Felouzis, Georges et Samuel Charmillot. 2012. Les enquêtes PISA. Paris: PUF.
Felouzis, Georges, Samuel Charmillot et Barbara Fouquet-Chauprade. 2011. Les inégalités scolaires en Suisse et leurs déclinaisons cantonales : l’apport de l’enquête PISA 2003. Revue suisse de sociologie 37(1):33-55.
Felouzis, Georges, Samuel Charmillot et Barbara Fouquet-Chauprade. 2013. Comment organiser l’enseignement secondaire obligatoire ? Une politique publique et son analyse dans le canton de Genève. Revue suisse de sociologie 39(2):225-243.
Gamoran, Adam, Martin Nystrand, Mark Berends et Paul Lepore. 1995. An Organizational Analysis of the Effects of Ability Grouping. American Educational Research Journal 32(4):687-715.
IRDP/SRED. 2014. « PISA 2012. Compétences des jeunes Romands. Résultats de la cinquième enquête PISA auprès des élèves de fin de scolarité obligatoire. » IRDP, Neuchâtel.
Jencks, Christopher. 1979. L’inégalité. Influence de la famille et de l’école en Amérique. Paris: PUF.
Levy, René, Joye, Dominique, Guye, Olivier, Kaufmann, Vincent: Alle gleich? Soziale Schichtung, Verhalten und Wahrnehmung, Zürich: Seismo 1998.
Korber, Maïlys et Daniel Oesch. 2016. « Beschäftigungs- und Lohnperspektiven nach einer Berufslehre». Social Change in Switzerland. https://www.socialchangeswitzerland.ch/?p=921
OECD. 2005. «Lernen für die Welt von morgen. Erste Ergebnisse von PISA 2003» OECD, Paris.
OECD. 2014. «PISA 2012 Ergebnisse:Was Schülerinnen undSchüler wissen und können. Schülerleistungen in Mathematik,Lesekompetenz und Naturwissenschaften, Bd. 1» OECD, Paris.
OECD. 2016. «Bildung auf einen Blick 2016. OECD-Indikatoren» OECD, Paris.
SECO. 2016. « Indikatorensystem zur Beurteilung der Fachkräftenachfrage». SECO, Bern.
[1] Teilweise übersetzt in: Bourdieu, Pierre/Passeron, Jean-Claude: Grundlagen einer Theorie der symbolischen Gewalt. Kulturelle Reproduktion und soziale Reproduktion. Frankfurt/M. 1973]



